2022年9月12日,农林科学1区Top期刊PLANT DISEASE(IF=4.614)上在线发表了yl8cc永利线路检测何霞红教授团队题为 “Infection Characteristics and Physical Prevention Strategy of Panax notoginseng Round Spot Disease Caused by Mycocentrospora acerina” 的研究论文。该论文揭示了林下三七圆斑病病原菌的侵染过程并验证了避雨栽培对三七圆斑病的控制效果。

林下三七圆斑病是林下三七种植过程中的主要叶部病害并且具有明显的发病特点。每年的林下三七圆斑病都是伴随着雨季的来临而发生,发病初期在三七叶片上出现圆形或近圆形的水渍状小病斑,病斑中心具有一个明显的棕色斑点,随后病斑逐渐扩大,颜色逐渐加深变为棕色或灰褐色,并有明显的“轮纹”,在发病中后期,病斑的表面会出现白色粉末状物质,这是三七圆斑病菌的分生孢子堆,到发病后期,多个病斑合并,导致叶片腐烂和凋落。三七圆斑病发病会形成明显的发病中心,然后从发病中心向四周传播蔓延。

图1 林下三七圆斑病的发病特点
在30份病叶中一共分离出30株林下三七圆斑病菌菌株,这些菌株的培养形态并不一致,颜色从灰色到黑色,从粉红色到红色不等,整体上颜色差异较大,但菌丝质地都呈绒毛状,平坦,有明显的轮纹。菌株在PDA上不产生分生孢子,通过无菌水的诱导可以产生分生孢子。分离菌株的分生孢子梗短小粗壮,无色,无隔膜,呈弯曲状。分生孢子为单生、无色、透明、长拱形,具有多个隔膜。分生孢子的尾部逐渐变细,顶端细胞呈平截状,在顶端细胞侧面有一根长而细的带隔膜的附属丝。值得注意的是,在分生孢子的尾部和顶部均长有一根细长的纤毛。分生孢子的平均长度(包括附属丝和两个纤毛)为171.83-492.92µm(平均为349.74 µm)(n=200),宽度为6.24-13.05µm(平均为8.61 µm)(n=200)。对30个分离菌株的3个基因位点进行测序,测序完成后在NCBI(https://www.ncbi.nlm.nih.gov/)进行Blast比对上,结果显示30个菌株的ITS,LSU,和TEF-1α 基因序列均与M. acerina(CBS 105.43)相对应的序列具有99%-100%的相似度。

图2 林下三七圆斑病菌的菌落、分生孢子梗和分生孢子的形态特征

图3 使用最大似然法,基于分离菌株和相关物种的基因组合序列(ITS、LSU和TEF-1α)构建系统发育树

图4 温度和叶面水膜持续时间对分生孢子萌发的影响
评估了不同温度下三七圆斑病菌分生孢子的萌发率,分生孢子在除了32 °C以外的其它温度下均可以萌发。在2h时,分生孢子在所有温度下均未萌发。在4h时,4、8、14、18、20、22、24和28°C下的分生孢子已经有部分萌发。在6h时,14、18、20、22和24°C下的分生孢子萌发率均超过了30%。在18h时,14、18、20、22和24 ℃下的萌发率均超过90%,其中在20 ℃下的分生孢子萌发率最高,为97.16%。在24h时,18、20和22 ℃下的分生孢子全部萌发,在8、14和24 ℃下的分生孢子萌发率也超过了90%。以上结果表明在高于28 °C和低于4°C的温度下均不利于槭菌刺孢分生孢子的萌发,槭菌刺孢分生孢子的最适萌发温度为14-22°C。
在体外研究了叶面水膜持续时间对槭菌刺孢分生孢子萌发的影响。当叶面水膜持续时间小于2h时,分生孢子不能萌发。在2h和24h之间时,分生孢子的萌发率随水膜持续时间的增加而增加。当自由水膜存在24h时,所有分生孢子全部萌发,即使在99%的相对湿度下,在没有自由水膜的情况下,槭菌刺孢分生孢子也不会萌发。
为了评估叶面水膜持续时间对分生孢子侵染三七的影响,用人工喷洒分生孢子悬浮液的方法,在室内模拟了在不同叶面水膜持续时间下三七圆斑病的发病率,在接种后的第10天开始调查三七圆斑病的发生率。当叶面水膜持续时间小于或等于8h时,三七没有发病,当叶面水膜持续时间大于或等于12小时时,三七圆斑病的发病率和病情指数随着叶面水膜持续时间的增加而增加,当叶面水膜持续时间24h时,三七圆斑病的发病率和病情指数分别为55.56%和32.78,显著高于12h和18h的发病率和病情指数。

图5 不同叶片水膜持续时间对三七圆斑病发生的影响
为了可以同时观察到三七叶片表面槭菌刺孢分生孢子的生长发育和三七叶片表面的变化,我们分别使用荧光显微镜的紫外光和正常光对三七叶片的同一个位置进行拍照。在6 hpi,多个初生菌丝从分生孢子不同位置的细胞中萌发长出。在6 hpi和12 hpi之间,初生菌丝继续伸长,一些菌丝末端膨大形成附着胞。在18 hpi,叶表面出现轻微损伤,表明菌丝已经侵入到三七叶片内部。到24 hpi,病斑区域继续扩大,病斑更加明显,且在病斑中心可以看到一个非常明显的分生孢子附着胞,并且病斑的扩展以附着胞为中心向四周蔓延。到48 hpi,病变中心从浅黄色变为橙黄色,橙黄色的病斑中心也有一个附着胞在中间。在72 hpi,病斑进一步扩大,病斑中心颜色越来越深,并从橙黄色变为棕色。在96 hpi,可以看到从病斑表面长出许多个分生孢子。三七病斑表面的分生孢子是由病斑内部膨大的菌丝产生的,槭菌刺孢分生孢子从接种到发病,再到病斑上长出新的分生孢子,可以在四天内完成。

图6 三七叶片上槭菌刺孢分生孢子的生长发育过程
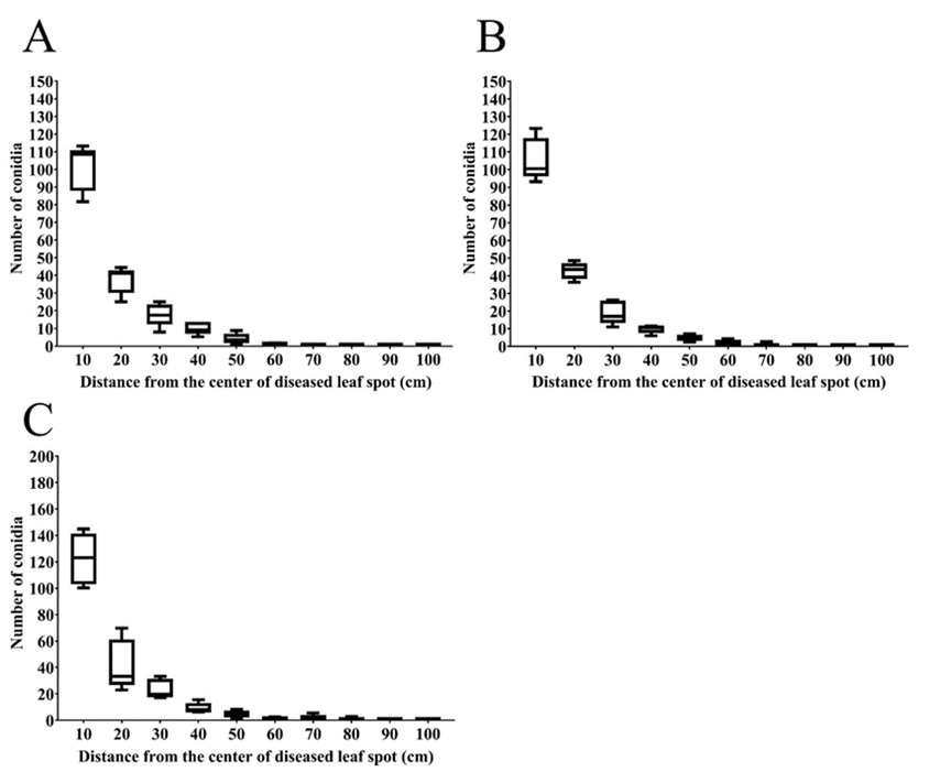
室内模拟雨滴飞溅对槭菌刺孢分生孢子传播能力进行测定。当使用直径为0.55 mm的针头进行模拟降雨时,随着三七病叶和载玻片之间距离的增加,从病叶溅落在载玻片上的分生孢子数量越来减少,分生孢子最大的传播距离为70 cm,在此距离处载玻片上的分生孢子平均数量为0.55个。当使用直径为0.6 mm的针头时,在距离病叶10cm处的载玻片平均收集到105.80个分生孢子,略高于使用直径为0.55 mm针头(101.2个分生孢子)获得的数量,使用该直径针头的分生孢子最大传播距离为70 cm,在该距离下,载玻片接收到的分生孢子平均数量为0.70个。当使用直径为0.7 mm的针头时,距离病叶10 cm处的载玻片上接收到分生孢子的平均数量为122.40个,高于使用0.55 mm和0.6 mm针头收集到的数量,使用该直径针头下分生孢子的最大传播距离为80 cm,在该距离下,载玻片接收到的分生孢子平均数量为0.55个。综上,分生孢子的传播距离随着针头尺寸的增加而增加,分生孢子的传播数量随距离病叶中心距离的增加而减少,室内模拟雨滴飞溅对分生孢子的最远传播距离为80 cm。

图7 室内模拟分生孢子通过雨滴飞溅扩散的距离
2020年8月至10月,在田间测定了槭菌刺孢分生孢子的传播和侵染距离。第一次试验于8月25日开始,经过半个月的时间(期间有降雨),在9月9日测量了距离接种源不同距离处的三七圆斑病发病率。在距离接种源1 m处的三七圆斑病发病率为13.33%,当距离大于1m时,未发现有三七圆斑病发生。第二次试验于9月10日至9月25日进行,试验结果表明在接种源附近的所有健康三七植株均被侵染(距离0 m),发病率为100%,距离接种源1 m处的平均发病率为39.67%,和第一次的试验结果类似,在距离接种源超过1m的地方没有发现三七圆斑病植株。第三次实验于9月26日至10月11日进行,结果与第一次和第二次的试验结果相似,发病的三七植株均在距离接种源1 m之内,和接种源的距离超过1m时的三七均未发病。

运用避雨栽培的方法,对林下三七圆斑病进行了成功防治,平均相对防效可达100%。

图8 避雨栽培对三七圆斑病的防治效果
yl8cc永利线路检测林下三七团队博士研究生杨宽为该论文的第一作者,何霞红教授和郭力维副教授为该论文的共同通讯作者。同时yl8cc永利朱书生教授、王慧玲博士、叶辰博士、王柱华博士、叶坤浩博士、张帅博士等也参与了部分工作。本研究得到了国家现代农业产业技术体系建设专项(CARS-21);云南省重大科技专项(202102AE090042);昆明市科技揭榜制项目(2021JH002)资助。
原文链接:https://apsjournals.apsnet.org/doi/10.1094/PDIS-01-22-0087-RE#